Flytdiagram
Flytdiagram viser en visuell representasjon av en algoritme eller et program. Vi sier gjerne at et flytdigram viser flyten i en algoritme eller et program.
Eksempel
Section titled “Eksempel”
Symboler
Section titled “Symboler”| Symbol | Navn | Beskrivelse |
|---|---|---|
| Flowline | Viser rekkefølgen på operasjoner. En linje går fra ett symbol og peker på et annet. Pilspissen kan droppes hvis flyten går ovenfra og ned, eller fra venstre til høyre. | |
| Terminal | Start eller slutte på algoritme eller program. Inneholder vanligvis ordet “Start” eller “Slutt”. | |
| Process | En eller flere operasjoner, som endrer verdi, form eller plassering av data. For eksempel: gjør alle bokstaver små | |
| Input/Output | Hent inn (input) eller vis (print) data. |
Draw.io kan brukes for å tegne flytdiagrammer. Symbolene for flytdiagram ligger under
flowcharti menyen til venstre.
Oppgaver
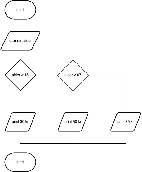
Section titled “Oppgaver”Oppgave 1
Section titled “Oppgave 1”Oppgave 5 fra eksamnen H23
Et system som beregner billettprisen avhengig av kjøperens alder, bruker følgende regler for billettkategorier:
-
Hvis brukeren er 15 år gammel eller yngre, skal brukeren få barnebillett til 30 kroner.
-
Hvis brukeren er 16 år gammel eller eldre, skal brukeren få voksenbillett til 50 kroner.
-
Hvis brukeren er 67 år gammel eller eldre, skal brukeren få pensjonistbillett til 35 kroner.
Lag et flytdiagram for et program der brukeren skriver inn alderen på kjøperen og programmet regner ut og skriver ut riktig billettpris.
Lag flytdiagrammet i et egnet program, og lagre det i et allment lesbart format (f.eks. pdf eller png) og legg det ved i samme mappe som filen oppgaver-pseudokode-flytdiagram.md.
Se løsningsforslag

Oppgave 2
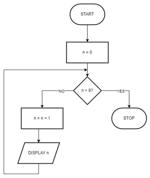
Section titled “Oppgave 2”Oppgave 4 fra eksamen V23
I figuren nedenfor finner du en illustrasjon som viser et flytskjema for en algoritme, og i kodeboksen under figuren finner du fire sekvenser med pseudokode.

1:SET n TO 1WHILE n LESSER THAN OR EQUAL TO 10 INCREMENT n DISPLAY nENDWHILE
2:SET n TO 0FOR hver n LESSER THAN OR EQUAL TO 10 DISPLAY nENDFOR
3:SET n TO 1WHILE n LESSER THAN 10 DISPLAY n INCREMENT nENDWHILE
4:SET n TO 1FOR hver n LESSER THAN OR EQUAL TO 10 DISPLAY nENDFORHvilken sekvens med pseudokode gir lik visning av output som algoritmen beskrevet av flytskjemaet? Velg riktig svar:
- 1
- 2
- 3
- 4
Se løsningsforslag
Algoritmen i flytdiagrammet printer tallene 1 til 10.
- 1 - printer 2 til 11
- 2 - printer 0 til 10
- 3 - printer 1 til 9
- 4 - printer 1 til 10